燕窝酸:外驻颜、内养元的六维美丽引擎
旧时王谢堂前燕,飞入寻常百姓家
燕窝自古被誉为“滋补瑰宝”,据《本草从新》载:“燕窝,大养肺阴,化痰止嗽,补而能清”,赵学敏在《本草纲目拾遗》更引《逢原》盛赞其为“食品中最驯良者”。千年间,这份金丝燕的馈赠,始终是宫廷贡案上的明珠、深闺养颜的秘钥。
现代科学解密燕窝精髓,揭示其核心物质燕窝酸(N-乙酰神经氨酸)正是古今推崇的"黄金纽带"。当生物发酵技术突破量产壁垒,昔年"一两燕窝十两金"的贵族专享,终成飞入寻常百姓家的普惠之宝。
燕窝酸——燕窝中的多维健康密钥
>>01
燕窝酸的科学定义
燕窝酸学名N-乙酰神经氨酸,又称唾液酸,因在燕窝中含量丰富,因此得名燕窝酸,是人体必需的八大糖质营养素之一。目前发现的唾液酸形式有50多种,其中99%以N-乙酰神经氨酸形式存在。N-乙酰神经氨酸在人体很多组织器官都有分布,特别是在中枢神经系统中含量最高,其通过独特的分子构象和化学活性参与多项关键生理过程[1]。人体燕窝酸主要由外源性食物供给和肝脏合成,虽然燕窝酸在牛奶、鸡蛋等食物中有少量存在,但含量极低[2];燕窝为燕窝酸含量最丰富的食物,行业推荐标准GH/T 1092-2014规定,特级燕窝中燕窝酸可达10%以上[3];
图1 行业推荐标准GH/T 1092-2014燕窝各等级质量规定
其次为母乳,约为0.2-1.5g/L,其中初乳中含量最高,但随着哺乳期的延长,燕窝酸含量逐渐减低[4]。
图2 燕窝酸在人体中的分布[1]
长期研究表明,燕窝酸具有美白、抗氧化、延缓衰老、提高婴幼儿的记忆力和智力水平、提高肠道对维生素及矿物质的吸收、增强免疫力、抗菌排毒和抗病毒等多重功效[5]。
>>02
促进脑发育与认知功能:
大脑健康的“隐形守护者”
燕窝酸是大脑神经节苷脂的重要组成部分,能够促进大脑细胞膜和突触的发育,在大脑发育和功能中具有极其重要的作用,在早期生命营养中不可或缺[6]。外源性燕窝酸的供给,可提高动物大脑中神经节苷酯的浓度,增进学习能力,尤其是认知水平。对SD孕鼠进行燕窝酸补充,其对子代鼠的学习记忆能力有促进作用,且可以改变子代鼠中脑组织的燕窝酸含量[7]。Wang B等研究了八臂迷宫法测定受试体学习记忆任务的完成情况,证实了提高燕窝酸的摄入量可以提高大脑的学习记忆和认知功能[8]。
图3 学习区域示意图:八臂放射迷宫及用于简单/困难学习任务的视觉标记[8]
大脑中唾液酸的构成与神经细胞生长和突起延展有相关性。老年痴呆症、初老症以及精神分裂症的一些神经性疾病患者的血液或脑中的唾液酸含量显著下降,随着康复的开展,唾液酸含量又表现正常。表明唾液酸神经节苷酯对于治疗脑缺血、帕金森症、老年痴呆症和神经创伤具有一定功效[9]。总体而言,燕窝酸在大脑发育与功能中的重要性体现在促进神经细胞的形成与功能、支持免疫调节、增强认知发展,以及可能在预防神经退行性疾病方面的作用。通过这种多方面的影响,燕窝酸为大脑的健康和存续提供了支持[6]。
>>03
清除自由基、延缓衰老:
肌肤健康的“修复密钥”
燕窝酸对皮肤具有修复作用,可提高皮肤弹性,促进细胞生长,中和自由基,对抗氧化应激反应,减少皱纹和提亮肤色。它还能促进胶原蛋白的合成,增加皮肤的紧致度和弹性,使肌肤更加年轻有弹性。研究发现燕窝酸就有明显的清除自由基效果[10]。燕窝酸展现出卓越的肌肤修护力:在美白方面,它靶向抑制黑色素合成的关键限速酶——酪氨酸酶,对人酪氨酸酶的抑制活性 IC50 值(即抑制一半酶活性所需的浓度)低至 0.10 mM,明显优于常见的皮肤美白剂熊果苷和没食子酸,有效阻断黑色素生成,显著减轻B16(小鼠黑色素瘤细胞)、A375(人体黑色素瘤细胞)及3D皮肤模型的黑色素含量和肤色表观强度[11]。此外,燕窝酸可能影响p62(选择性自噬受体)磷酸化,促进多泛素化异常蛋白进入分离体(自噬的第一步),并通过激活自噬降解酪氨酸酶[12]。
图4 燕窝酸对蘑菇/人酪氨酸酶的抑制酶学参数及与其他皮肤美白剂的比较[11]
图 5 燕窝酸作用于3D人皮肤模型中黑色素的宏观图像[11]
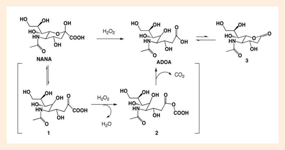
过氧化氢(H₂O₂)是细胞代谢中普遍存在的活性氧(ROS)之一,在高浓度下,ROS会在细胞中诱导氧化应激,从而导致生物大分子(如核酸、膜脂和细胞蛋白质)的后续损伤。这些生物分子的氧化损伤可引发细胞凋亡,加速皮肤老化、松弛和暗沉。燕窝酸抗氧化核心在于特异性清除毒性H₂O₂:通过独特的α-酮羧酸基团,以1:1计量比将H₂O₂分解为无毒的ADOA (4-(乙酰氨基)-2,4-双脱氧-D-甘油-D-半乳辛糖酸)、H₂O(水)和CO₂(二氧化碳),保护细胞免受氧化损伤[13]。
图6 过氧化氢作用下燕窝酸的脱羧反应机理作用[11]
在抗衰老维度,燕窝酸构建三维防御:
- 胶原维稳:显著提升I型胶原蛋白合成(低浓度0.25%即可提升2.8倍,见图7),抵御紫外损伤,减少胶原断裂;
- 电荷调控:重塑细胞表面电荷(贡献红细胞74-94%负电荷),改善衰老细胞活力并延长寿命[14];
- 信号调节:通过影响多种糖蛋白唾液酸化,参与调控与衰老相关的关键信号通路(如TGF-β1/CD44/EGFR/MAPK),维持细胞年轻态[15]。
凯幸生物研究发现,经过不同浓度的燕窝酸处理后Ⅰ型胶原蛋白的含量在UVA辐射后得到显著恢复,且呈现出剂量效应关系,说明燕窝酸能够促进Ⅰ型胶原蛋白的生成,从而发挥抗皱紧致的功效。
图7 不同含量的燕窝酸的处理对Ⅰ型胶原蛋白生成的影响(凯幸生物专题研究)
图8 燕窝酸化对红细胞存活率的影响
●:新采集兔血中的细胞;⯁:燕窝酸修复后的衰老红细胞;■:未经处理的衰老红细胞[13]
>>04
增强免疫:
抵御疾病的“生物防线”
燕窝酸通常处于细胞表面(包括病毒表面)最外端,具有亲水性、保护细胞表面、调节免疫细胞活性、清除病原体、介导细胞表面分子交联等作用。因此,燕窝酸在提高免疫力、抗病毒、预防感染方面具有重要作用。在免疫系统中燕窝酸的功能主要表现在以下几个方面:帮助白细胞快速准确地到达被感染部位,激活免疫细胞活性,调节与T细胞的相互作用,防止病原体侵染正常细胞。同时,燕窝酸也是免疫细胞发育所必需的,α-2,6-连接的燕窝酸在B淋巴细胞发育过程中显著上调。在对燕窝酸增强小鼠的免疫力功能实验中发现燕窝酸干预小鼠30天后,其免疫指标(抗体生成指数、半数溶血值、巨噬细胞吞噬鸡红细胞的吞噬率)都明显升高,证明燕窝酸可以提高小鼠体液免疫功能[16]。
图9 N-乙酰神经氨酸对小鼠体液免疫功能的影响
研究显示,燕窝酸可通过结合Siglec受体调控免疫细胞活性,抑制过度炎症反应,同时阻断病原体(如流感病毒、幽门螺杆菌)与宿主细胞受体的结合,形成天然抗感染屏障[17]。而在大脑中,燕窝酸能帮助维持神经细胞的免疫耐受性,从而防止过度的免疫反应损伤神经组织,促进大脑的健康发展[6]。
>>05
提高肠道对维生素及矿物质的吸收:
营养吸收的加速器
燕窝酸带有极强的负电荷,通常位于细胞膜表面的糖蛋白或糖脂的末端,是细胞膜负电荷的主要来源。进入肠道的带有正电荷的矿物质(如钙离子Ca2+)及部分维生素(如食物中极其微量但至关重要的维生素B12等)很容易与带有极强负电荷的燕窝酸结合在一起,从而提高肠道对于矿物质及维生素的吸收能力。补充燕窝酸,能够更好地提升机体对营养的吸收能力[7]。
>>06
抑制肥胖:
体重的天然调节剂
脂肪是肥胖症、糖尿病和心血管疾病的重要致病因素之一。在提高高脂饮食小鼠抗氧化能力及抗肥胖作用的研究中,科学家发现补充N-乙酰神经氨酸可以减少AT脂肪和肝脏脂质积累; 降低TC、LDL、TG、AST和空腹血糖水平,具有抗肥胖和降血脂作用,从而抑制体重增加[18]。
>>07
保护心血管健康:
心血管健康的守护者
研究发现,燕窝酸在保护心血管系统中发挥重要作用。针对燕窝酸的抗高血压作用研究发现,在内皮完整而内皮未剥离的肠系膜动脉中,燕窝酸表现出剂量依赖性的松弛作用以及明显的血管扩张能力,证明其具有较强的降压作用[10]。燕窝酸可增加大脑耐缺血缺氧能力,并有一定的活血化瘀作用[19]。此外,燕窝酸通过清除活性氧(ROS)和促进胆固醇逆向运转,可改善高脂饮食诱导的内皮氧化应激和血脂异常,从而发挥降血脂作用[20]。
图11 燕窝酸对血管张力的影响[10]
传统与现代的对话:为什么我们需要补充燕窝酸?
1、传统智慧的现代验证
燕窝的“滋阴润肺”、“调理虚劳”、“美容驻颜”归因于其稀有成分,而现代科学揭示其关键活性成分之一正是燕窝酸(N-乙酰神经氨酸)。现代研究表明燕窝酸具有促进大脑发育及认知增强、提高免疫力、抗病毒、美白、抗氧化及延缓衰老、保护心血管健康等作用-10。
2、哪些人建议补充燕窝酸
- 婴幼儿(尤其非母乳喂养)
- 青少年学生学习压力大;认知衰退风险者(如老年人)
- 需要保持肌肤年轻、驻颜的女性
- 免疫力低下或呼吸道易感群体
- 脾胃虚弱、肠道亚健康状态人群
- 需要保持心血管健康群体
3、科学摄入建议
- 天然食物局限:燕窝酸在如牛奶、鸡蛋中含量微乎其微,日常通过膳食补充,可行性低;传统“炖煮燕窝”在长时间高温氧化条件下可能会破坏部分活性成分,通过现代技术得到的燕窝酸更高效、更直接、更易吸收。
- 每日推荐量:新食品原料公告推荐燕窝酸食用量≤500毫克/天。成人100-500毫克可达到营养补充、提升机体健康机能的效果。
前景未来
作为传统滋补佳品燕窝的核心活性成分,燕窝酸的“妆食同源”特性使其在多个领域展现出巨大潜力。在食品领域,燕窝酸被广泛应用于婴幼儿配方奶粉、美白抗氧化、提高学习记忆力、提高免疫力等产品中。在美容领域,燕窝酸作为美白抗衰的核心成分,被应用于精华液、面霜、面膜等产品中,能够淡化细纹、修护亮肤、抗衰紧致。满足了消费者对健康与美丽的双重需求。这种多功能性让燕窝酸成为备受市场瞩目的“全明星成分”。
参考文献
1.Wang B T , Zhang T M, Tang S , et al. The physiological characteristics and applications of sialic acid. science of food, 2025, 1-11
2.伍晓燕.基于HPLC的燕窝与食品中唾液酸的含量测定及比较[D]. 上海交通大学, 2019
3. GH/T1092-2014 燕窝质量等级
4. 宋咏烨,林咏惟,张娜.食物中唾液酸含量分布研究进展[J]. 中国食物与营养, 2024, 30(06): 61-71.
5. 李宏越,柳鹏福,史吉平等.唾液酸的生理功能、应用及其生产方法[J]. 食品工业科技, 2014, 35(03): 363-368
6. Liu F, Simpson A B, D’Costa E, et al. Sialic acid, the secret gift for the brain [J]. Critical Reviews in Food Science and Nutrition, 2023, 63(29): 9875-9894.
7.卞冬生, 王新月, 谢子譞, 等. 孕鼠补充唾液酸对其雄性子代鼠学习记忆能力的影响[J]. 营养学报, 2016, 38(04): 361-3656.
8. Wang B Y, Karim M. Dietary sialic acid supplementation improves learning and memory in piglets[J]. The American Journal of Clinical Nutrition. 2007, 85: 561-569
9. 范剑. 单唾液酸四己糖神经节苷脂钠注射液治疗老年性痴呆45例[J]. 中国药业, 2007,(19):59.
10. Wang C Y, Cheng L J, Shen B, et al. Antihypertensive and antioxidant properties of sialic acid, the major component of edible bird’s nests [J]. Current Topics In Nutraceutical Research , 2019, 17(4): 376-379.
11. Chan G K L, Wong Z C F, Lam K Y C, et al. Edible bird’s nest, an asian health food supplement, possesses skin lightening activities: Identification of N-acetylneuraminic acid as active ingredient[J]. Journal of Cosmetics, Dermatological Sciences and Applications, 2015, 05(04): 262-274.
12. Iijima R, Takahashi H, Namme R, et al. Novel biological function of sialic acid (N ‐acetylneuraminic acid) as a hydrogen peroxide scavenger[J]. FEBS Letters, 2004, 561(1-3): 163-166.
13. Yoshikawa K, Maeda K. N-Acetylneuraminic acid inhibits melanogenesis via induction of autophagy[J]. Cosmetics. 2024, 11(3): 82-98.
14. Huang Y X, Tuo W W, Wang D, et al. Restoring the youth of aged red blood cells and extending their lifespan in circulation by remodeling membrane sialic acid[J]. J Cell Mol Med. 2016; 20(2):294-301.
15. Varki A, Cummings R D, Esko J D, et al. Essentials of glycobiology. 2nd ed. Cold Spring Harbor: Cold Spring Harbor Laboratory Press; 2009.
16. 肖敏,郑立新,丰珂珏,等.N-乙酰神经氨酸增强小鼠免疫力功能研究[J].中国食品添加剂, 2023, 34(05): 103-110.
17. Marta Lustig. Sialic acid/Siglec axis regulates antibody-mediated neutrophil cytotoxicity towards cancer cells [D]. 2024
18. Tomoko Kaburagi, Yuko Otsuka, Satoru Oshiro. Antiobesity effect of N-acetylneuraminic acid by enhancing antioxidative capacity in mice fed a high-fat diet. Journal of Medicinal Food, 2023, 26 (8) : 550-559
19. 阮青玄,王娜, 张宇薇, 等. 燕窝酸抗急性脑缺血及活血化瘀作用研究[J]. 广西医科大学学报, 2019, 36(02): 184-186.
20. Xiang P, Chen Q, Chen L, et al. Metabolite Neu5Ac triggers SLC3A2 degradation promoting vascular endothelial ferroptosis and aggravates atherosclerosis progression in ApoE-/-mice [J]. Theranostics, 2023, 13(14): 4993-5014.
凯幸生物®原创科普工程 | 每一行文字都经过科学审核与文献验证。转载请注明原始出处并保留此声明,您对出处的每一次标注,都是对科研工作者辛勤付出的尊重。©KansenBio
上一篇:凯幸生物斩获荣格技术创新奖
下一篇:喜讯 | 绿色康成燕窝酸化妆品新原料成功备案


TOP